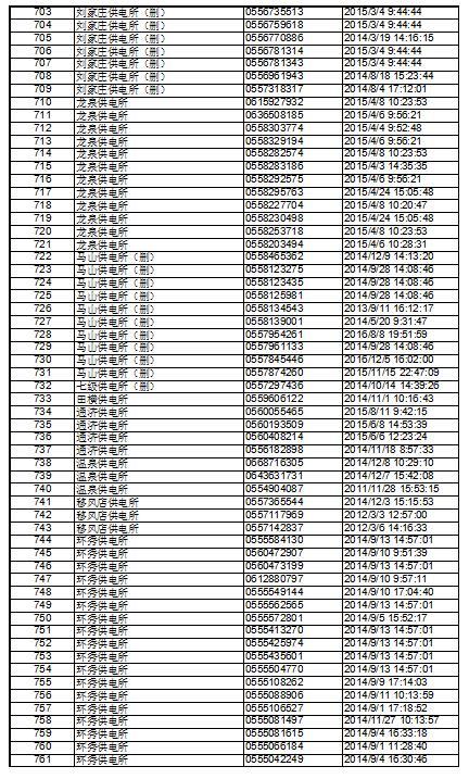
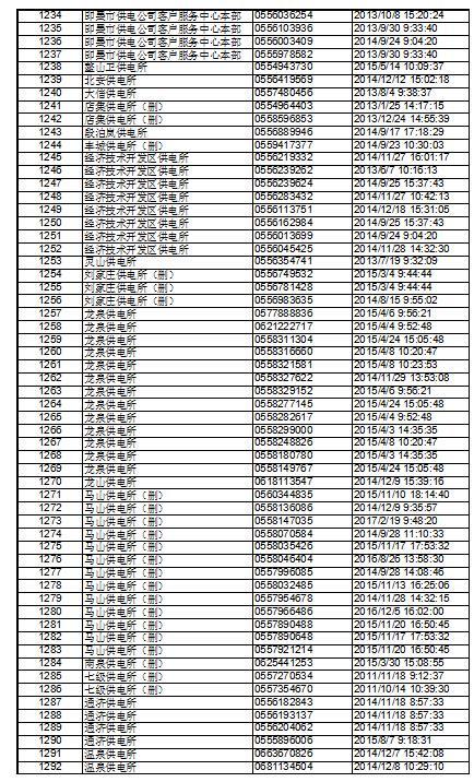
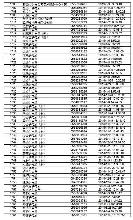
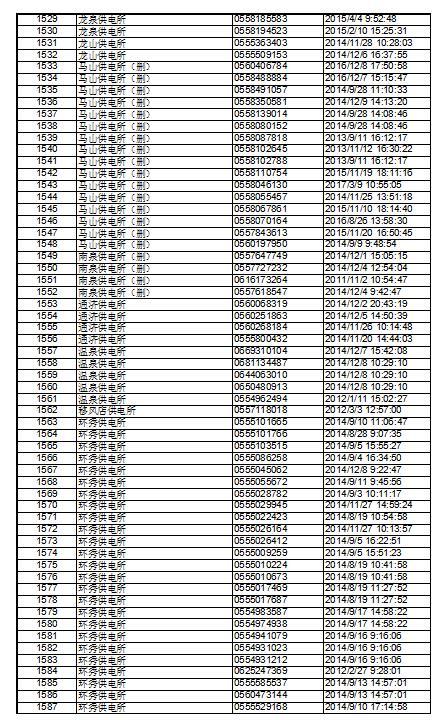
有预存电费已销户客户公示
发布:2020/7/23 8:38:08 来源:转载 浏览次 编辑:佚名
尊敬的电力客户:
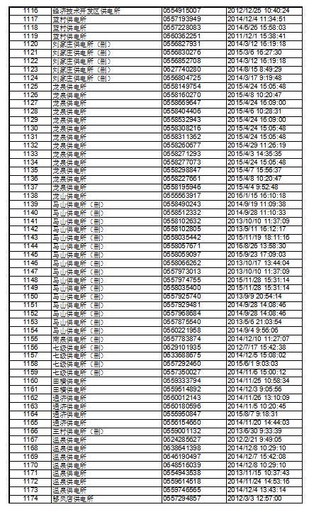
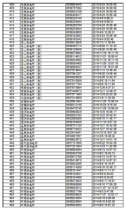
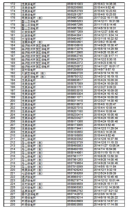
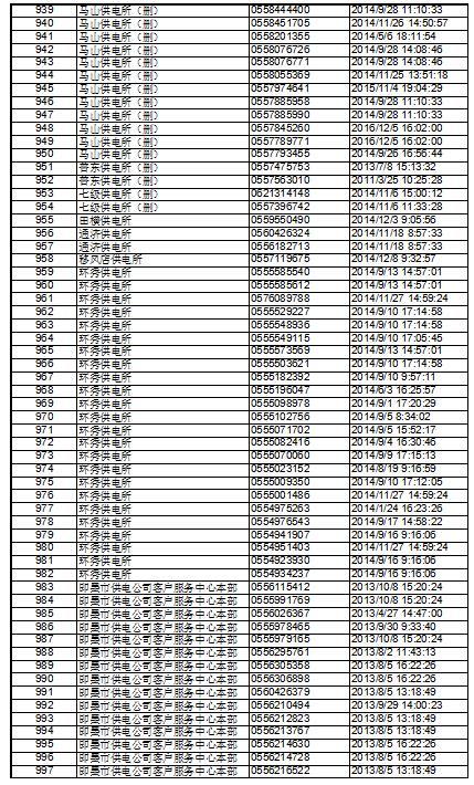
因提供账号错误、打款失败、联系信息失效、证明材料不齐全等原因,导致部分客户办理销户后,电费账户余额未成功退费。现将销户满3年客户的相关信息进行公示,请名单中的客户于2020年7月31日前到所属供电所办理退费业务。
咨询电话:66171629
即墨区供电公司(24小时)服务热线:85553000
附:1、有预存电费已销户用户名单











2、供电所服务电话


